Location Home > pumps
Technical Parameter
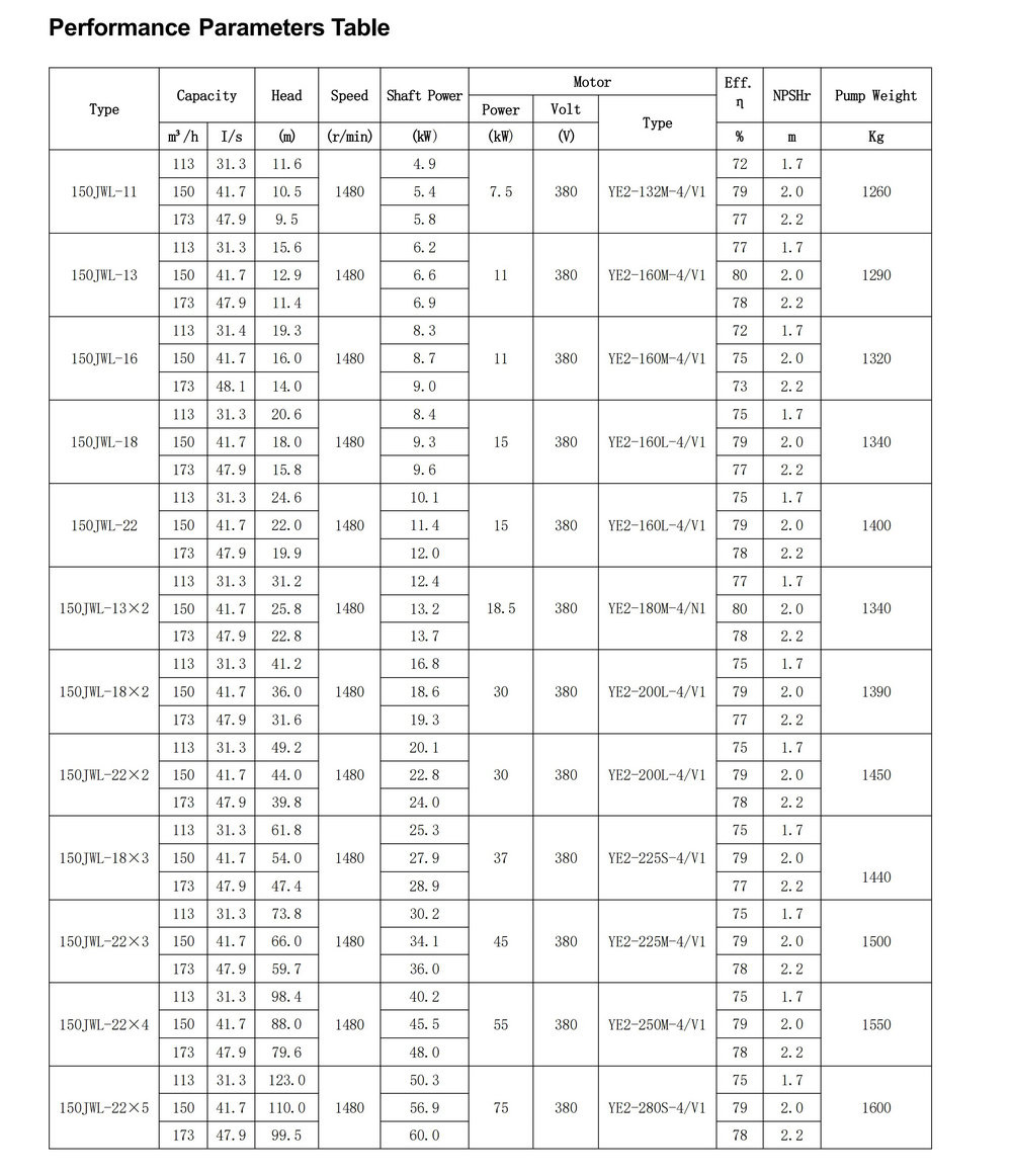
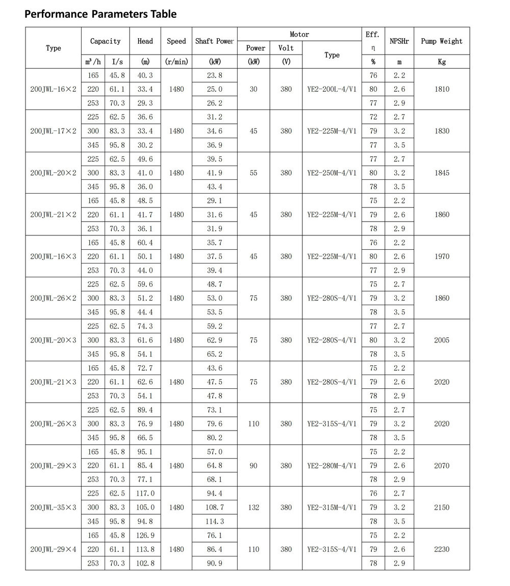
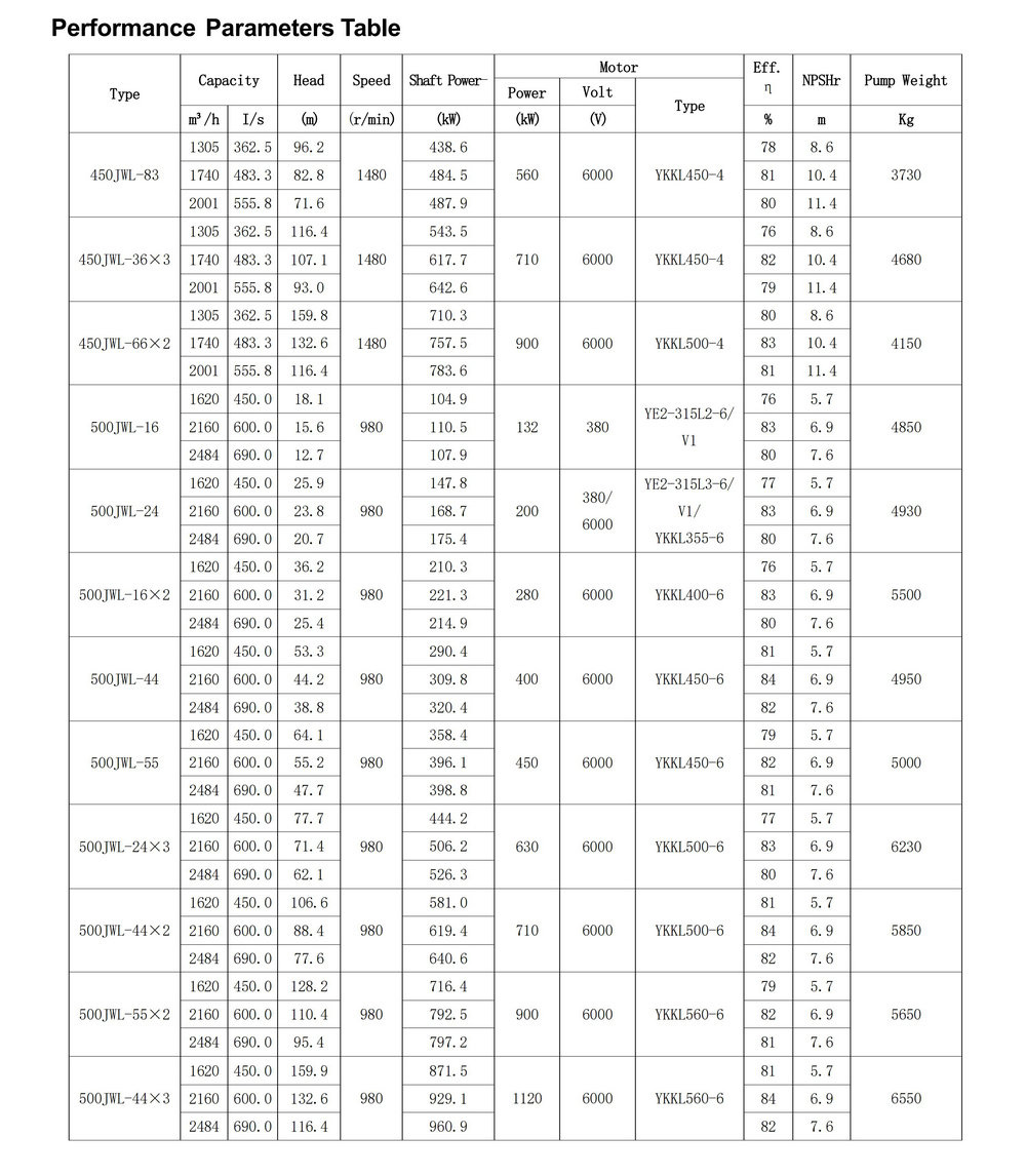
● Flow:100~10000m³/h
● Head:10~200m
● Power frequency and rotate speed: 590~1480r/min (50HZ) (60HZ for option)
Overview ●
JWL series new generation vertical long shaft pumps are high efficiency and energy saving products
lwell-designed and optimized structure,
lVarious material for option, precise manufacture
lWide performance range
lHigh efficiency and energy saving
lStable and reliable operation
lConvenient installation and maintenance
● Design standard: CJ/T235-2017 "Vertical Long Shaft Pump"
Pump vibration standard: GB/T 29531-2013 Vibration Measurement And Evaluation Method of The Pump.
Pump noise standard: GB/T29529-2013 Pump Noise Measurement and Evaluation Method.
Application Field
JWL category products are used for transfer liquids such as clean water, storm water, water with oxidized iron, sewage and sea water
lMedia temperature: not more than 90℃ .
lThermal power plants
lNuclear power stations
lSteel plant
lmining
lDock yard
lOther industrial water
lmunicipal water supply and drainage
lIrrigation & flood drainage
lLNG receiving stations
Working Condition
● Outlet diameter: DN150~DN1000 mm
● Medium temperature:-20~90℃
● Running mode: Power frequency or frequency conversion
● Direction of rotation: from the drive end, the pump is rotated in counter-clockwise
● Design pressure:1.0 or 2.0MPa
● Hydrostatic test:1.5 times of design pressure,30 minutes
● Installation: Vertical, direct connection, wet pit
● Depth below foundation:4~45m













