Location Home > pumps

General Information
lThe JWQ series submersible sewage pump for transporting various kinds of sewage or insoluble solid-phase mixed liquids containing particles and sediment
ncompact structure,
nhigh reliability, high stability, non-overload
nhigh efficiency and energy saving
nanti-winding,
nno clogging,
nautomatic coupling,
nauto-protection and auto-control.
lThe design, manufacturing and quality comply with GB/T24674 " Waste Submersible Motor-Pumps ” and CJ/T 472 " Submersible Sewage Pump ” standards,
lEfficiency index reaches GB32031" Minimum Allowable Values of Energy Efficiency and Energy Efficiency Grades for Waste Submersible Motor-Pumps " standards.
Working Condition
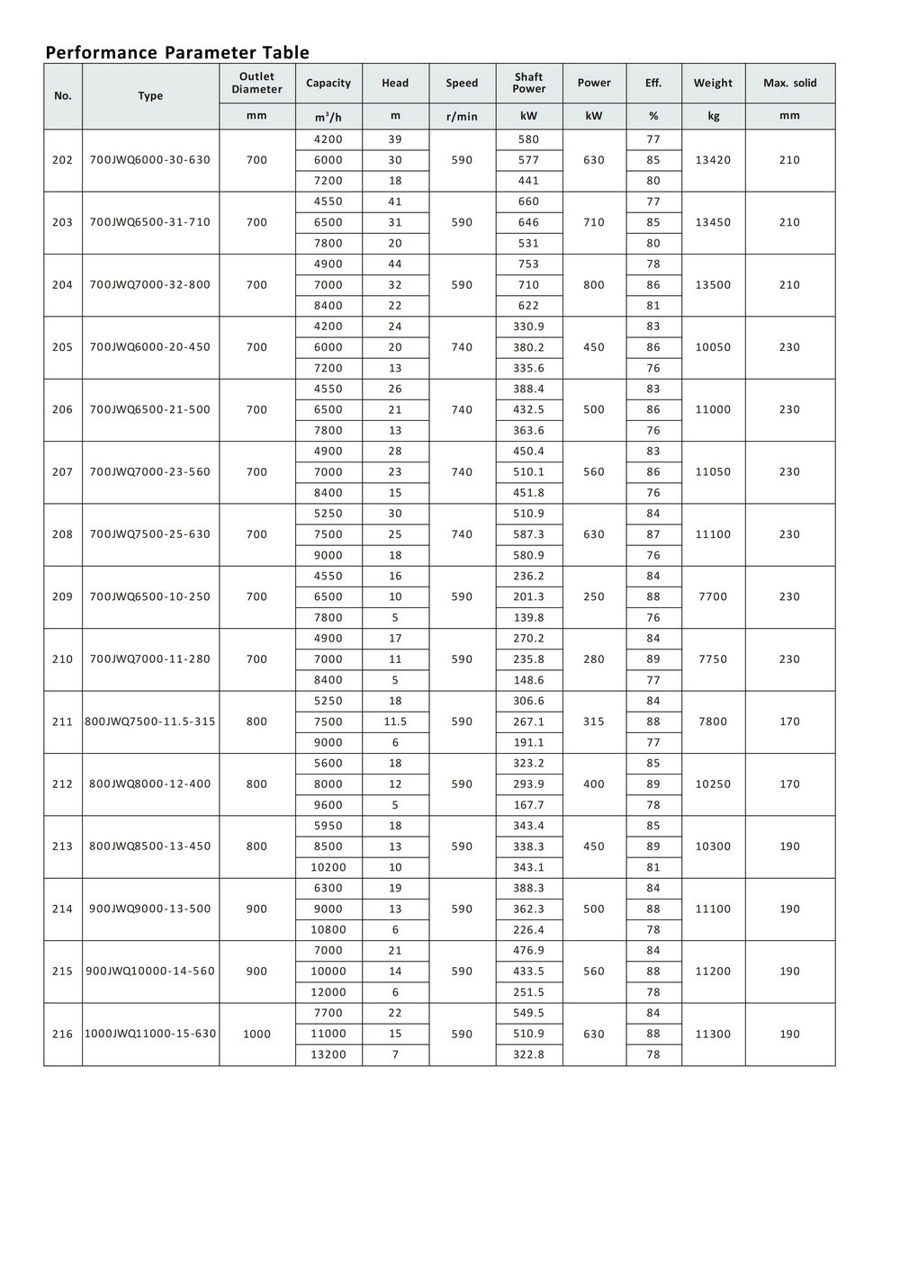
Outlet diameter: DN80mm ~DN1000mm.
Rated voltage: 380V or 660V, 3KV, 6KV, 10kV, 11kV
Frequency: 50Hz three-phase AC power
Medium: temperature ≤ 42℃ , density ≤1200kg/m3, Volume ratio of solid phases ≤5%
pH value: between the range of 4-10
Minimum operating liquid level: see the GA drawing.
There are two liquid levels: with motor cooling system and without motor cooling system
Max. solid dia. in the medium should not be bigger than 80% of the min. size of the impeller channel.
Corrosive medium requirements: The products cannot be used for pumping media which is highly corrosive or contain strong abrasive solid particles. (customize design is available)
Product Application
JWQ category products to transport various types of sewage, wastewater, rainwater, or other insoluble solid phase mixed liquids containing solid particles, sediment fiber, and so on.
lDrainage system of urban sewage treatment plants,
lCommercial heavily polluted wastewater discharge of factories,
lResidential area sewage drainage,
lAir defense system drainage of civil,
lSewage drainage of hospital and hotel,
lAuxiliary machinery drainage for hydropower stations and
lWater conservancy pump station,
lExploration, mining supporting equipment,
lWaterworks water supply equipment,
lMunicipal engineering,
lConstruction site,
lSubway station drainage
lOther industries.
Product Features
Anti-overload Designed Impeller
The radial force of impeller caused by overload can be reduced by vane -type design which prevent fall off of blades and break of shaft . The impeller is designed with wide channels to prevent blocking by solid particles and winding by fiber in flow.
Intelligent Online Monitoring
The operation of this series product can be controlled by a number of sensors automatically. The wiring room and motor cavity are located with water leakage sensors, and the oil chamber is located with water & oil probe, while the upper and lower bearing are protected by sensors to test temperature increasing of motor.

























